前言
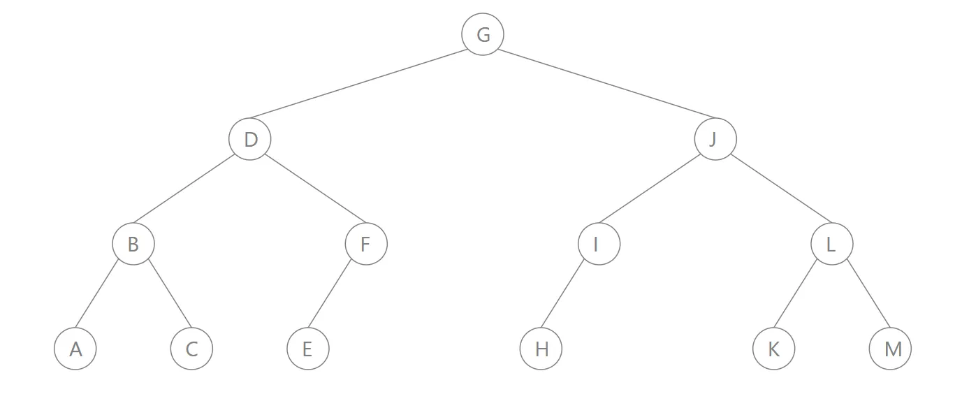
对于下面这个二叉树,不同遍历结果如下:

中序遍历:ABCDEFGHIJKLM
前序遍历:GDBACFEJIHLKM
后序遍历:ACBEFDHIKMLJG
题目
给定一个二叉树的根节点 root ,返回 它的 中序 遍历 。
示例 1:
graph TD
A((1)) --> B(( ))
A((1)) --> C((2))
C((2)) --> F((3))
C((2)) --> G(( ))
输入:root = [1,null,2,3]
输出:[1,3,2]
示例 2:
输入:root = []
输出:[]
示例 3:
输入:root = [1]
输出:[1]
提示:
树中节点数目在范围 [0, 100] 内
-100 <= Node.val <= 100
题解
中序遍历:左 -> 根 -> 右;前序遍历:根 -> 左 -> 右;后序遍历:左 -> 右 -> 根
二叉树遍历这种,最好是用stack,把需要的入栈,再按条件出栈
比如二叉树如下:
graph TD
A((1)) --> B((2))
A((1)) --> C((3))
B((2)) --> D((4))
B((2)) --> E((5))
C((3)) --> F((6))
C((3)) --> G(( ))
E((5)) --> H((7))
E((5)) --> I((8))
首先每个三角形的节点顺序必须是左根右,比如4->2->5,2->1->3。
中序遍历的过程就是把左侧子树全部入栈,然后一个个出栈,并取值。
这里1<-2<-4入栈,然后4出栈,取值4;到2,2有右子树5,5入栈;
5也执行一遍中序遍历,即左子树7入栈,然后7出栈,取值7;到5,5有右子树8,8入栈。
重复直到没有子树
1 2 3 4 5 6 7 8 9 10 11 12 13 14 15 16 17 18 19 20 21 22 23 24 25 26 27 28 29 30 31 32
| struct TreeNode { int val; TreeNode* left; TreeNode* right; TreeNode() : val(0), left(nullptr), right(nullptr) {} explicit TreeNode(int x) : val(x), left(nullptr), right(nullptr) {} TreeNode(int x, TreeNode* left, TreeNode* right) : val(x), left(left), right(right) {} };
class Solution { public: std::vector<int> inorderTraversal(TreeNode* root) { vector<int> res; if (root == NULL) return res; stack<TreeNode*> s; TreeNode* cur = root; while (cur || !s.empty()) { if (cur) { s.push(cur); cur = cur->left; } else { cur = s.top(); s.pop(); res.push_back(cur->val); cur = cur->right; } } return res; } };
|
题目
给你二叉树的根节点 root ,返回它节点值的 前序 遍历。
示例 1:
graph TD
A((1)) --> B(( ))
A((1)) --> C((2))
C((2)) --> F((3))
C((2)) --> G(( ))
输入:root = [1,null,2,3]
输出:[1,2,3]
示例 2:
输入:root = []
输出:[]
示例 3:
输入:root = [1]
输出:[1]
示例 4:
graph TD
A((1)) --> B((2))
A((1)) --> C(( ))
输入:root = [1,2]
输出:[1,2]
示例 5:
graph TD
A((1)) --> B(( ))
A((1)) --> C((2))
输入:root = [1,null,2]
输出:[1,2]
提示:
树中节点数目在范围 [0, 100] 内
-100 <= Node.val <= 100
题解
首先每个三角形的节点顺序必须是根左右,比如2->4->5,1->2->3。
参考中序遍历,中序遍历是左根右,所以要左子树入栈->出栈->取值->判断右子树;
而先序遍历是根左右,所以要取值->左子树入栈->出栈->判断右子树
1 2 3 4 5 6 7 8 9 10 11 12 13 14 15 16 17 18 19 20 21 22
| class Solution { public: vector<int> preorderTraversal(TreeNode* root) { vector<int> res; if (root == NULL) return res; stack<TreeNode*> s; TreeNode* cur = root; while (cur || !s.empty()) { if (cur) { res.push_back(cur->val); s.push(cur); cur = cur->left; } else { cur = s.top(); s.pop(); cur = cur->right; } } return res; } };
|
题目
给你一棵二叉树的根节点 root ,返回其节点值的 后序遍历 。
示例 1:
graph TD
A((1)) --> B(( ))
A((1)) --> C((2))
C((2)) --> F((3))
C((2)) --> G(( ))
输入:root = [1,null,2,3]
输出:[3,2,1]
示例 2:
输入:root = []
输出:[]
示例 3:
输入:root = [1]
输出:[1]
提示:
树中节点数目在范围 [0, 100] 内
-100 <= Node.val <= 100
题解1
首先每个三角形的节点顺序必须是左右根,比如4->5->2,2->3->1。
参考前序遍历的根左右,输出根右左,然后倒序,就是左右根
1 2 3 4 5 6 7 8 9 10 11 12 13 14 15 16 17 18 19 20 21 22 23
| class Solution { public: vector<int> postorderTraversal(TreeNode* root) { vector<int> res; if (root == NULL) return res; stack<TreeNode*> s; TreeNode* cur = root; while (cur || !s.empty()) { if (cur) { res.push_back(cur->val); s.push(cur); cur = cur->right; } else { cur = s.top(); s.pop(); cur = cur->left; } } reverse(res.begin(), res.end()); return res; } };
|
题解2
顺便记录下递归的写法
1 2 3 4 5 6 7 8 9 10 11 12 13 14 15 16 17
| class Solution { public: void postorder(TreeNode* root, vector<int>& res) { if (root == nullptr) { return; } postorder(root->left, res); postorder(root->right, res); res.push_back(root->val); }
vector<int> postorderTraversal(TreeNode* root) { vector<int> res; postorder(root, res); return res; } };
|
题目
给你二叉树的根节点 root ,返回其节点值的 层序遍历 。(即逐层地,从左到右访问所有节点)。
示例 1:
graph TD
A((3)) --> B((9))
A((3)) --> C((20))
C((20)) --> F((15))
C((20)) --> G((7))
输入:root = [3,9,20,null,null,15,7]
输出:[ [3],[9,20],[15,7] ]
示例 2:
输入:root = [1]
输出:[1]
示例 3:
输入:root = []
输出:[]
提示:
树中节点数目在范围 [0, 2000] 内
-1000 <= Node.val <= 1000
题解
首先要知道遍历二叉树,DFS和BFS的顺序是不一样的

从gif图可以看出,前中后序遍历就是DFS遍历,层序遍历就类似BFS遍历,不同的是BFS是输出一个一维数组,而层序遍历要求我们区分每一层,也就是返回一个二维数组
那首先我们可以先实现BFS遍历,用队列来存储遍历的节点,因为队列是先进先出,顺序不会乱
1 2 3 4 5 6 7 8 9 10 11 12 13 14 15 16 17 18 19 20 21 22 23
| class Solution { public: vector<int> levelOrder(TreeNode* root) { vector<int> res; queue<TreeNode*> q; if (root != NULL) { q.push(root); } while (!q.empty()) { TreeNode* node = q.front(); q.pop(); res.push_back(node->val); if (node->left != NULL) { q.push(node->left); } if (node->right != NULL) { q.push(node->right); } } return res; } };
|
有了BFS遍历,怎么把每一层的分别记录下来呢
很简单,在每一层遍历开始前,先记录队列中的结点数量n(也就是这一层的结点数量),然后一口气处理完这一层的n个结点
1 2 3 4 5 6 7 8 9 10 11 12 13 14 15 16 17 18 19 20 21 22 23 24 25 26 27
| class Solution { public: vector<vector<int>> levelOrder(TreeNode* root) { vector<vector<int>> res; queue<TreeNode*> q; if (root != NULL) { q.push(root); } while (!q.empty()) { int n = q.size(); vector<int> temp; for (int i = 0; i < n; i++) { TreeNode* node = q.front(); q.pop(); temp.push_back(node->val); if (node->left != NULL) { q.push(node->left); } if (node->right != NULL) { q.push(node->right); } } res.push_back(temp); } return res; } };
|